Journal of Positioning, Navigation, and Timing (J Position Navig Timing; JPNT)
Indexed in KCI (Korea Citation Index)
OPEN ACCESS, PEER REVIEWED
pISSN 2288-8187
eISSN 2289-0866
Research Papers

Characteristic Analysis of GNSS-Synchronized Surface Buoy-Based TDOA Underwater Localization for Targets at Varying Depths

Chul Hyun1, Hyunseung Kim2, Dong Geon Kim3, Sungkyun Lee1

1Principal Researcher, Modeling and Simulation Team, LIG Nex1, Seongnam 13488, Korea
2Senior Researcher, Modeling and Simulation Team, LIG Nex1, Seongnam 13488, Korea
3Principal Researcher, Global PGM System Integration, LIG Nex1, Seongnam 13488, Korea

Corresponding Author: Chul Hyun, E-mail: chul.hyun@gmail.com

Citation: Hyun, C., Kim, H., Kim, D. G., & Lee, S. 2026, Characteristic Analysis of GNSS-Synchronized Surface Buoy-Based TDOA Underwater Localization for Targets at Varying Depths, Journal of Positioning, Navigation, and Timing, 15, 111-120.
Journal of Positioning, Navigation, and Timing (J Position Navig Timing) 2026 March, Volume 15, Issue 1, pages 111-120. https://doi.org/10.11003/JPNT.2026.15.1.111
Received on Feb 12, 2026, Revised on Mar 08, 2026, Accepted on Mar 11, 2026, Published on Mar 15, 2026.
Copyright © The Institute of Positioning, Navigation, and Timing
License: Creative Commons Attribution Non-Commercial License (https://creativecommons.org/licenses/by-nc/4.0/) which permits unrestricted non-commercial use, distribution, and reproduction in any medium, provided the original work is properly cited.

ABSTRACT

Global Navigation Satellite System (GNSS)-synchronized surface buoy networks using Time Difference of Arrival (TDOA) provide an effective solution for underwater localization in GNSS-denied environments. However, most previous studies have focused on planar or depth-invariant target motion. Practical underwater operations often involve targets moving at varying depths and irregular measurement updates due to acoustic channel conditions. This paper analyzes the localization characteristics of a GNSS-synchronized surface buoy TDOA system for underwater targets at varying depths. A three-dimensional simulation framework is developed to investigate the effect of target depth variation on measurement geometry and horizontal position error characteristics. In addition, the impact of irregular measurement updates on Extended Kalman Filter (EKF)-based tracking performance is examined. To mitigate depth-induced uncertainty, a depth aiding scheme using pressure sensor measurements is incorporated into the estimation framework. Simulation results show that target motion at varying depths leads to non-uniform horizontal error behavior even under regular update conditions, and that irregular updates can further amplify tracking instability. The application of depth aiding effectively suppresses horizontal error growth by constraining depth uncertainty and thereby improves overall estimation robustness. The results provide practical insights for the design and operation of GNSS-synchronized surface buoy TDOA localization systems in three-dimensional underwater scenarios.

KEYWORDS

underwater localization, surface buoy network, time difference of arrival, target tracking, navigation performance

1. 서론

수중에서 운용되는 자율무인잠수정(autonomous underwater vehicle) 및 수중 표적의 정확한 위치결정은 해양 탐사, 수중 감시·정찰, 시험평가 등 다양한 분야에서 핵심적인 기술 요소로 인식되고 있다. 그러나 수중 환경에서는 전자기파의 급격한 감쇠로 인해 글로벌 항법 위성 시스템(Global Navigation Satellite System, GNSS)을 직접 활용할 수 없으며, 이로 인해 별도의 수중 위치결정 기법이 요구된다. 전통적으로 장·단거리 기준점 기반 위치결정 기법(Long Baseline, Short Baseline, Ultra-Short Baseline)이 활용되어 왔으나, 기준점 설치 및 회수의 어려움, 운용 유연성 부족, 비용 증가 등의 한계를 가진다 (Kilfoyle & Baggeroer 2000, Stojanovic & Preisig 2009, Paull et al. 2014).

이러한 제약을 극복하기 위해 GNSS 수신이 가능한 수상 플랫폼과 수중 음향 센서를 결합한 하이브리드 위치결정 구조가 대안으로 제시되어 왔다. 특히 GNSS로 시간과 위치가 동기화된 다수의 수상부이를 활용하여 수중 표적이 송신한 음향 신호의 도달 시간차(Time Difference of Arrival, TDOA)를 계산하는 방식은, 고정 기준점 설치 없이도 비교적 넓은 영역에서 유연한 위치결정을 가능하게 한다 (Han et al. 2012, Su et al. 2020). 이러한 구조는 수상부이 배치 기하와 시간 동기화 정밀도에 따라 위치결정 성능이 좌우되며, GNSS 기반 시간 동기화가 확보될 경우 비교적 단순한 시스템 구성으로도 실용적인 정확도를 달성할 수 있다는 장점을 가진다.

TDOA 기반 수중 위치결정 성능은 센서–표적 간 기하와 측정 잡음 특성에 크게 의존하며, 이에 따라 위치 오차 거동은 부이 배치와 운용 조건에 민감하게 반응한다. Li et al. (2020)은 TDOA 측정 오차와 기하 조건을 고려한 위치결정 최적화 기법을 제시하였으며, 기존 연구들에서는 주로 측정 기하 개선이나 알고리즘적 정확도 향상에 초점을 두어 왔다. 또한 수중 음향 통신 환경에서의 채널 특성 및 시간 동기화 한계는 위치결정 성능에 직접적인 영향을 미치는 주요 요인으로 지적되어 왔다 (Baggeroer 2013).

한편, GNSS 동기 수상부이 네트워크 기반 TDOA 구조를 실제 운용 환경에 적용할 경우, 표적의 운동 특성과 측정 업데이트 조건이 위치결정 성능에 중요한 영향을 미칠 수 있다. Hyun et al. (2025)은 GNSS 동기 수상부이 네트워크 기반 TDOA 구조에서 부이 배치 기하, 시계 동기 오차, 그리고 측정 업데이트 주기가 정적 및 동적 위치결정 성능에 미치는 영향을 정량적으로 분석하였다. 해당 연구에서는 동일 수심에서의 평면 운동을 가정하여 시스템 설계 관점에서의 기본적인 성능 특성을 제시하였다.

그러나 실제 수중 운용 환경에서는 표적이 일정 수심을 유지하며 이동하기보다, 임무 수행 또는 환경 요인에 의해 수심을 변화시키며 운동하는 경우가 빈번하게 발생한다. 수심 변화가 존재할 경우 수중 표적과 수상부이 간의 거리 기하가 시간에 따라 변화하며, 이는 TDOA 측정 민감도와 위치 오차 거동에 영향을 미칠 수 있다. 그럼에도 불구하고, 수심 변화 운동과 측정 업데이트 특성이 TDOA 기반 수중 위치결정 성능에 미치는 영향을 체계적으로 분석한 연구는 제한적인 상황이다.

이 논문에서는 수심 변화 운동을 갖는 수중 표적을 대상으로 GNSS 동기 수상부이 기반 TDOA 수중 위치결정 시스템의 특성을 분석한다. 3차원 시뮬레이션 환경을 구성하여 수심 변화가 측정 기하와 수평 위치 오차 거동에 미치는 영향을 정량적으로 평가하고, 불규칙한 측정 업데이트 조건에서의 추적 안정성을 확장 칼만 필터(Extended Kalman Filter, EKF) 기반으로 분석한다. 또한 압력 센서를 이용한 수심 보조(depth aiding) 정보를 추정 과정에 포함함으로써 수심 변화로 인한 불확실성을 완화하는 효과를 함께 검토한다.

그러나 이러한 위치 추정 성능은 수상부이–표적 간 기하에 의해 결정되는 기하학적 관측 한계와, EKF 기반 추정 과정에서 발생하는 모델링 및 추정 오차가 함께 반영되어 나타난다. 이러한 요인들이 혼재된 상태에서 단순히 추정 결과만을 비교할 경우, 위치 오차 변화의 원인을 명확히 해석하기 어렵다. 따라서 이 연구에서는 GNSS 동기 수상부이 기반 TDOA 수중 위치결정 시스템의 성능을 보다 명확히 분석하기 위해, 먼저 부이 배치 기하에 의해 결정되는 기하학적 관측 특성을 DOP 분석을 통해 평가하고, 이후 동일한 시나리오 조건에서 EKF 기반 위치 추정 성능을 몬테카를로 시뮬레이션을 통해 분석한다. 이를 통해 TDOA 기하 구조에 따른 위치결정 한계와 추정 알고리즘 및 측정 조건이 미치는 영향을 구분하여 해석하고자 한다.

이 논문의 구성은 다음과 같다. 2장에서는 GNSS 동기 수상부이 기반 TDOA 위치결정 시스템의 구성과 측정 모델, 그리고 시뮬레이션 시나리오를 설명한다. 3장에서는 부이 배치 기하에 의해 결정되는 위치결정의 기하학적 관측 특성을 DOP 분석을 통해 평가한다. 4장에서는 EKF 기반 위치 추정 성능을 몬테카를로 시뮬레이션을 통해 분석하고, 측정 업데이트 조건과 수심 변화가 위치 추정 오차에 미치는 영향을 논의한다. 마지막으로 5장에서는 이 연구의 주요 결과를 정리하고 결론을 제시한다.

2. 시뮬레이션 환경 및 모델링

수심 변화 운동을 갖는 수중 표적에 대한 GNSS 동기 수상부이 기반 TDOA 위치결정 성능을 분석하기 위하여 구성한 3차원 시뮬레이션 환경과 추정 모델을 기술한다. 특히, 표적의 수직 위치 변화가 수상부이–표적 간 기하 관계를 시간에 따라 변화시키며, 이에 따라 수평 위치 추정 오차 특성이 달라질 수 있다는 점에 착안하여 3차원 시뮬레이션 프레임워크를 구성하였다.

이번 장에서 정의된 시스템 모델과 시뮬레이션 환경은 이후 3장에서 수행되는 기하학적 관측 특성 분석과 4장에서 수행되는 EKF 기반 위치 추정 성능 분석의 공통 기반으로 사용된다. 

2.1 시스템 구성 및 개념도

Fig. 1은 이 연구에서 고려한 GNSS 동기 수상부이 기반 TDOA 위치결정 시스템의 개념도를 나타낸다. 네 개의 수상부이는 해수면(z = 0 m)에 배치되며, 각 부이는 GNSS 수신기를 통해 위치 및 시각 기준을 동기화한다. 수중 표적은 일정 주기(핑 주기)로 음향 신호를 송신하며, 각 수상부이는 신호의 도달 시간(time of arrival)을 기록한다. 이후 기준 부이를 기준으로 도달 시간차를 계산하여 TDOA 측정값을 구성하고, 이를 기반으로 표적의 위치를 추정한다.

Fig. 1. Conceptual diagram of GNSS-synchronized buoy TDOA localization system in a three-dimensional geometry.

이 연구에서는 표적이 단순히 수평면 상에서 이동한다고 가정하는 기존의 2차원 접근과 달리, Fig. 1에 도시된 바와 같이 수평 이동과 함께 수심(z) 방향 변동을 포함하는 3차원 운동을 수행하는 상황을 고려한다. 또한 압력 기반 심도 센서(depth sensor)로부터 획득되는 수심 측정값을 보조 측정으로 활용하는 수심 보조 조건을 함께 설정하여, 3차원 기하 구조 하에서 수심 정보의 포함 여부가 수평 위치 추정 성능에 어떠한 영향을 미치는지를 비교·분석한다.

2.2 수상부이 배치 및 시뮬레이션 공간 가정

수상부이는 정사각형 형상으로 배치되며, 인접 부이 간 간격은 L=1 km로 설정하였다. 정사각형 배열은 부이 간 기하학적 대칭성을 확보할 수 있으며, 배열 내부 영역에서 비교적 균일한 관측 기하 조건을 형성할 수 있다는 장점을 가진다. 이러한 특성으로 인해 TDOA 기반 위치결정 시스템의 기본 성능 특성을 분석하기 위한 대표적인 기준 배열 형태로 활용된다. 부이 좌표는 $b_i=[x_i \; y_i \; z_i]^T$로 정의하며, 모든 부이는 해수면에 위치하므로 $z_i=0$이다. 이 연구에서는 부이 네트워크가 형성하는 정사각형 영역 내부에서 표적이 운용되는 상황을 가정하였다. 즉, 표적의 수평 위치(x,y)는 부이 배열 내부에 머무르도록 시나리오를 구성하였으며, 이는 부이 영역 외부로 이탈할 경우 발생할 수 있는 기하학적 열화 효과(관측 민감도 저하 및 오차의 비등방성 증가)를 이 논문의 주요 분석 대상에서 제외하기 위함이다. 일반적으로 TDOA 기반 위치결정 시스템에서는 센서–표적 간 기하 구조에 따라 위치 추정 성능이 크게 달라질 수 있으며, 배열 외부 영역에서는 관측 기하 열화로 인해 추정 오차가 증가할 수 있는 것으로 알려져 있다 (Compagnoni et al. 2014).

2.3 표적 운동 모델

표적의 상태벡터는 Eq. (1)과 같이 정의한다.

$$\mathbf{x}(t) = [x(t) \quad y(t) \quad z(t) \quad \dot{x}(t) \quad \dot{y}(t) \quad \dot{z}(t)]^T$$

수평 운동은 등속(constant velocity) 모델을 기본으로 하였으며, 수심 방향 운동은 실제 수중 플랫폼 운용에서 나타날 수 있는 다양한 수직 운동을 단순화하여 모델링하였다. 이 연구에서는 대표적인 수심 운동 형태를 고려하여 다음과 같은 시나리오를 구성하였다.

  • Z1 (Depth-constant): 일정 수심을 유지하며 이동하는 경우
  • Z2 (Linear descent): 이동하면서 수심이 선형적으로 변화하는 경우
  • Z3 (Sinusoidal depth variation): 주기적인 상하 운동을 수행하는 경우

이러한 수심 운동 형태는 실제 수중 플랫폼이 임무 수행 과정에서 일정 수심을 유지하거나 점진적으로 수심을 변경하는 경우, 또는 주기적인 상하 운동을 수행하는 경우를 단순화하여 표현한 것이다. 예를 들어 sinusoidal depth variation의 경우 수심 변화는 Eq. (2)와 같이 모델링할 수 있다.

$$z(t) = z_{0} + A \sin \left( \frac{2\pi}{T}t \right)$$

여기서 $z_0$는 기준 수심, $A$는 수심 변화 진폭, $T$는 주기이다. 이 논문에서는 수중 표적이 현실적인 범위에서 수심을 변화시키는 상황을 가정하여, 과도한 수직 운동을 유발하지 않도록 $A$와 $T$를 설정하였다.

이 연구에서는 위치결정 기하 구조와 측정 업데이트 특성이 위치 추정 성능에 미치는 영향을 분석하는 것을 주요 목적으로 하였기 때문에, 운동 모델의 영향을 최소화하기 위해 단순한 등속 모델을 사용하였다. 실제 수중 플랫폼이 가속 또는 기동 운동을 수행하는 경우에도 EKF 기반 추정 구조는 일정 수준의 모델 불일치를 허용하면서 위치 추정을 수행할 수 있으며, 이러한 경우에는 과정 잡음 공분산 조정을 통해 모델 불확실성을 반영할 수 있다.

2.4 TDOA 측정 모델

표적 위치를 $p=[x \; y \; z]^T$라 할 때, $i$번째 부이에서의 도달 시간은 Eq. (3)과 같이 표현할 수 있다.

$$t_{i} = t_{0} + \frac{1}{c} \| \mathbf{p} – \mathbf{b}_{i} \|$$

여기서 $t_0$는 표적의 송신 시각(미지), $c$는 음속이다. TDOA는 송신 시각 $t_0$를 소거하기 위해 기준 부이를 설정하여 도달 시간차로 정의한다. 이 연구에서는 1번 부이를 기준으로 Eq. (4)와 같은 TDOA 측정값을 구성하였다.

$$\Delta t_{i1} = t_{i} – t_{1}$$

이를 거리 항으로 전개하면 Eq. (5)와 같이 표현할 수 있다.

$$\Delta t_{i1} = \frac{1}{c} (\| \mathbf{p} – \mathbf{b}_{i} \| – \| \mathbf{p} – \mathbf{b}_{1} \|) + v_{i1}$$

여기서 $v_{i1}$는 TDOA 측정 잡음을 의미하며, 평균 0의 가우시안 잡음으로 모델링하였다. TDOA 잡음의 표준편차를 $\sigma_{TDOA}$로 두었으며, 구체적인 값은 시뮬레이션 설정에 따라 부여하였다. 또한 음속 $c$는 일정값으로 가정하였다. 실제 해양 환경에서 음속은 수심과 수온·염분 조건에 따라 변동할 수 있으나, 이 논문은 수심 변화에 따른 기하 구조 및 업데이트 조건의 영향을 분석하는 데 초점을 두므로, 음속 분포 변화에 따른 영향은 고려하지 않는다.

2.5 추정 알고리즘: EKF 및 수심 보조

표적의 위치 추정을 위해 EKF를 적용하였다. 예측 단계에서는 등속 운동 모델을 사용하여 상태를 전파하고, 측정 단계에서는 2.4절의 비선형 TDOA 측정식을 선형화(Jacobian 계산)하여 갱신한다.

또한 수심 보조 조건에서는 압력 기반 심도 센서로부터 획득되는 수심 측정값을 추가 측정으로 포함하였다. 수심 측정 모델은 Eq. (6)과 같이 표현된다.

$$z_{meas} = z + v_{z}$$

여기서 $v_z$는 심도 센서 측정 잡음이며, 평균 0의 가우시안 잡음으로 모델링하였다. 심도 센서는 수직 방향 위치를 비교적 높은 정확도로 제공할 수 있는 센서이며, 이러한 정보를 EKF의 추가 측정으로 활용하는 구조를 이 연구에서는 수심 보조로 정의하였다. 수심 보조는 수직 방향 상태의 불확실성을 제한함으로써 3차원 위치결정 문제의 관측성을 개선할 수 있으며, 이 논문에서는 이러한 수심 보조가 수평 위치 오차 특성에 미치는 간접적인 영향까지 함께 비교·분석한다.

2.6 측정 업데이트 조건

수중 음향 채널 환경에서는 신호 감쇠 및 간섭 등으로 인해 측정이 매 주기마다 안정적으로 확보되지 않을 수 있다. 특히 음향 신호의 전파 특성이나 수신 환경에 따라 일부 핑 신호가 수신되지 못하는 상황이 발생할 수 있으며, 이러한 상황은 위치 추정 성능에 영향을 미칠 수 있다. 이를 반영하기 위해 이 연구에서는 두 가지 업데이트 조건을 정의하였다.

  • U1 (Regular update): 모든 핑 주기에서 TDOA 측정이 정상적으로 존재하는 경우
  • U2 (Dropout update): 일정 확률로 측정이 누락되는 불규칙 업데이트 조건

U1은 이상적인 정규 업데이트 조건을 나타내며, U2는 음향 채널 특성에 의해 측정이 간헐적으로 누락되는 상황을 단순화하여 반영한 것이다. 측정 누락이 발생한 시점에서는 EKF의 측정 업데이트가 수행되지 않고 상태 예측 단계만 수행된다.

결측 구간에서는 EKF 예측 단계만 반복되며, 측정이 재개될 때 오차 보정이 수행된다. 이 연구에서는 결측률을 확률 변수로 설정하여 시뮬레이션에 적용하였다. 또한 측정 누락이 발생하는 경우 해당 시점에서는 TDOA 측정뿐 아니라 (수심 보조 적용 시) 수심 측정도 동일하게 함께 누락되는 것으로 가정하였다.

2.7 시나리오 구성 및 성능 지표

이 연구에서는 수중 표적의 수심 변화 형태, 측정 업데이트 조건, 그리고 수심 보조 적용 여부가 위치 추정 성능에 미치는 영향을 분석하기 위해 다양한 운용 조건을 고려한 시뮬레이션 시나리오를 구성하였다.

수심 운동 형태는 일정 수심 유지, 선형 수심 변화, 주기적 수심 변동의 세 가지 경우를 고려하였으며, 측정 업데이트 조건은 모든 핑에서 측정이 존재하는 경우와 일부 측정이 누락되는 경우의 두 가지 조건을 설정하였다. 또한 심도 센서로부터 획득되는 수심 측정값을 EKF에 포함하는 수심 보조 적용 여부에 따른 차이도 함께 비교하였다. 각 조건에 대해 동일한 부이 배치와 기본 운동 모델을 유지한 상태에서 시뮬레이션을 수행하여, 각 요인이 수평 위치 추정 오차 특성에 미치는 영향을 비교 분석하였다. 또한 위치결정 성능에 영향을 미치는 주요 요인을 보다 명확히 해석하기 위해, 이 연구에서는 두 단계의 분석 절차를 구성하였다.

먼저 3장에서는 부이 배치 기하에 의해 결정되는 위치결정의 기하학적 관측 특성을 분석하였다. 이를 위해 TDOA 측정 모델의 Jacobian을 이용하여 기하학적 위치 민감도를 평가하고, 수심 변화에 따른 수평 위치 기하학적 불확실성의 변화를 분석하였다. 이후 4장에서는 동일한 시스템 모델을 기반으로 EKF를 이용한 위치 추정 시뮬레이션을 수행하였다. 이 과정에서 수심 변화, 측정 업데이트 조건, 수심 보조 정보 활용 여부, 그리고 측정 잡음 수준과 같은 운용 요소들이 위치 추정 성능에 미치는 영향을 몬테카를로 시뮬레이션을 통해 분석하였다.

위치 추정 성능은 수평 위치 오차를 중심으로 평가하며, 시간 이력 기반의 오차 거동과 함께 평균 및 분산 등의 통계량을 활용하여 시나리오별 성능을 정량 비교하였다. 특히 수심 변화 조건에서의 위치 오차 거동, 측정 누락 상황에서의 추정 안정성, 그리고 수심 보조 적용 시의 성능 향상 효과를 주요 분석 대상으로 설정하였다.

3. TDOA 기반 수중 위치결정 시스템의 기하학적 관측 특성 분석

TDOA 기반 수중 위치결정 시스템의 위치추정 성능은 수상부이와 수중 표적 간의 상대 기하에 크게 의존한다. 동일한 측정 잡음 조건을 가정하더라도 부이–표적 간 기하에 따라 측정 민감도가 달라지며, 이는 위치 추정 정확도의 공간적 편차로 나타날 수 있다. 특히 이 연구에서 고려하는 GNSS 동기 수상부이 기반 TDOA 구조에서는 모든 수상부이가 해수면에 위치하므로, 수중 표적의 위치에 따른 기하학적 조건이 위치결정 성능에 직접적인 영향을 미친다.

2장에서 제시한 바와 같이, 이 연구에서는 GNSS로 시간 동기화된 수상부이들로부터 수신된 음향 신호의 도달 시간차를 이용하여 수중 표적의 위치를 추정하는 TDOA 기반 위치결정 구조를 사용한다. 실제 위치추정 과정에서는 EKF를 이용하여 표적의 위치를 추정하게 되며, 이때 측정 모델과 상태 추정 과정에서 다양한 오차 요인이 함께 작용하게 된다.

그러나 EKF 기반 추정 결과만을 통해 위치 오차를 분석할 경우, 수상부이 배치에 의해 결정되는 기하학적 관측 한계와 추정 알고리즘 및 측정 업데이트 특성에 의해 발생하는 추정 과정의 오차가 혼재된 상태로 나타나게 된다. 이러한 경우 위치 오차 변화의 원인을 명확히 해석하기 어려울 수 있다.

따라서 이 연구에서는 EKF 기반 위치추정 성능을 분석하기에 앞서, 먼저 수상부이–표적 간 기하에 의해 결정되는 관측 특성을 별도로 분석하였다. 이를 위해 2장에서 정의된 TDOA 측정 모델의 Jacobian을 이용하여, 추정 알고리즘을 고려하지 않은 순수한 기하학적 관측 민감도를 계산하였다. 이러한 분석을 통해 주어진 부이 배치와 측정 잡음 조건에서 달성 가능한 위치결정 성능의 기하학적 기준선을 제시하고자 한다.

또한 이 연구에서는 위치결정 성능 평가의 주요 관심 지표를 수평 위치 정확도로 설정하였다. 수직 방향 위치는 압력 기반 심도 센서를 통해 직접적으로 계측될 수 있으며, 수심 보조 조건에서는 해당 정보가 EKF 추정 과정에 추가 측정으로 반영될 수 있다. 반면 수평 위치는 수상부이와 표적 간 기하 및 TDOA 측정 민감도의 영향을 직접적으로 받기 때문에, 이번 장에서는 수평 위치를 중심으로 기하학적 관측 특성을 분석하였다.

이러한 분석을 통해 TDOA 기반 위치결정 시스템이 가지는 기본적인 기하학적 위치 민감도를 정량적으로 평가하고, 이후 4장에서 수행되는 EKF 기반 위치추정 결과를 해석하기 위한 기준선을 제공하고자 한다. 

3.1 수평 위치 기하학적 불확실성 지표

수상부이 $i$와 수중 표적 사이의 거리 $r_i$는 Eq. (7)과 같이 정의된다.

$$r_{i} = \| \mathbf{p} – \mathbf{b}_{i} \|$$

여기서 $p=[x \; y \; z]^T$는 수중 표적의 위치, $b_i$는 $i$번째 수상부이의 위치를 나타낸다. 이 연구에서는 하나의 수상부이를 기준(reference) 부이로 설정하고, 다른 부이들과의 도달 시간차를 이용하여 TDOA 측정을 구성하였다. TDOA 측정 모델은 Eq. (8)과 같이 표현된다.

$$h_{i}(\mathbf{p}) = \frac{r_{i} – r_{1}}{c}$$

여기서 $c$는 수중 음속을 의미한다. 해당 측정식에 대한 위치 민감도는 Jacobian 행렬로 표현되며, 수평 위치 성능을 분석하기 위해 이 연구에서는 수평 위치 성분에 해당하는 Jacobian 부분행렬을 이용하여 기하학적 공분산을 계산하였다.

수평 위치 기하학적 공분산 행렬은 Eq. (9)와 같이 정의된다.

$$P_{xy,geo} = (H_{xy}^{T} R^{-1} H_{xy})^{-1}$$

여기서 $H_{xy}$는 TDOA 측정식의 수평 위치에 대한 Jacobian 행렬이며, $R$은 TDOA 측정 잡음 공분산 행렬을 나타낸다. 이 연구에서는 TDOA 측정 잡음의 표준편차를 2×10-4 s로 가정하였다.

수평 위치 기하학적 불확실성 지표는 Eq. (10)과 같이 정의하였다.

$$\sigma_{xy,geo} = \sqrt{P_{xx} + P_{yy}}$$

이 지표는 주어진 기하 조건에서 TDOA 측정만을 이용할 경우 달성 가능한 수평 위치 정확도의 기하학적 한계를 나타낸다.

3.2 수평 위치별 기하학적 불확실성 분포

이 논문에서는 한 변의 길이가 1 km인 정사각형 형태로 4개의 수상부이를 배치하고, 해당 영역 내부에서 수중 표적의 위치에 따른 수평 위치 기하학적 불확실성을 분석하였다.

Fig. 2는 수심이 각각 20 m와 80 m일 때의 수평 위치 기하학적 불확실성 분포를 나타낸다.

Fig. 2. Horizontal geometric uncertainty for different target depths.

분석 결과, 동일한 측정 잡음 조건에서도 부이–표적 간 기하에 따라 수평 위치 불확실성이 크게 변화하는 것을 확인할 수 있다. 수상부이 배열의 중심부에서는 약 0.25 m 수준의 기하학적 불확실성이 나타나는 반면, 배열 경계나 코너 부근에서는 약 0.4 m 이상으로 증가하는 경향을 보인다. 이는 동일한 센서 성능 조건에서도 수상부이와 표적 간 기하에 따라 위치결정 성능이 크게 달라질 수 있음을 의미한다.

또한 불확실성 분포가 배열 중심을 기준으로 완전히 대칭적인 형태를 보이지 않고 약간 비대칭적인 패턴을 나타내는 것을 확인할 수 있다. 이 연구에서는 Fig. 2의 계산에서 (0,0)에 위치한 부이를 기준 부이(reference buoy)로 설정하여 TDOA 측정식을 구성하였다. 이러한 기준 부이 기반 측정 구조에서는 부이 배열이 기하학적으로 대칭 구조를 갖더라도 TDOA 측정 Jacobian이 기준 부이와 다른 부이들 간의 상대적인 기하관계에 의해 구성되므로, 수평 기하학적 불확실성 분포가 완전히 대칭적으로 나타나지 않을 수 있다.

3.3 수심 변화에 따른 기하학적 불확실성 변화

수중 표적의 수심 변화가 수평 위치 민감도에 미치는 영향을 분석하기 위해 대표 위치 두 곳을 선정하여 수심 변화에 따른 수평 위치 기하학적 불확실성을 분석하였다. Fig. 3은 수중 표적이 배열 중심부와 비대칭 위치에서 존재할 경우 수심 변화에 따른 기하학적 불확실성 변화를 나타낸다.

Fig. 3. Depth-dependent horizontal geometric uncertainty at representative positions.

분석 결과, 표적의 위치에 따라 기하학적 불확실성의 기본 수준이 다르게 나타나는 것을 확인할 수 있다. 배열 중심부에서는 약 0.245 m 수준의 불확실성이 나타나는 반면, 비대칭 위치에서는 약 0.259 m 수준으로 더 큰 값을 보인다. 이는 수상부이와 표적 간 기하에 따라 TDOA 측정 민감도가 달라지기 때문으로 해석할 수 있다.

한편 수심이 증가함에 따라 두 위치 모두에서 수평 위치 기하학적 불확실성이 완만하게 증가하는 경향을 보인다. 이는 표적이 깊어질수록 수상부이와 표적 사이의 시선 방향이 수직 방향에 가까워지면서 수평 위치 변화에 대한 TDOA 측정 민감도가 감소하기 때문이다.

또한 두 위치에서 수심 증가에 따른 변화율은 유사한 경향을 보이며, 이 연구에서 고려한 수심 범위에서는 증가량이 약 0.005 m 수준으로 나타났다. 이는 수심 변화가 수평 위치 민감도에 미치는 영향이 존재하지만 그 크기는 비교적 제한적임을 의미한다.

3.4 기하학적 관측 특성 분석 결과

이번 장에서 수행한 기하학적 관측 특성 분석 결과를 종합하면 다음과 같은 특징을 확인할 수 있다.

첫째, 수상부이–표적 간 상대 기하에 따라 수평 위치 기하학적 불확실성이 약 0.25 m에서 0.43 m 범위로 변화하는 것을 확인하였다. 이는 동일한 센서 성능과 측정 잡음 조건을 가정하더라도 부이 배치와 표적 위치에 따라 위치결정 성능이 크게 달라질 수 있음을 의미한다.

둘째, 표적의 수심 변화에 따라 수평 위치 기하학적 불확실성이 완만하게 증가하는 경향을 보였으나, 이 연구에서 고려한 수심 범위에서는 그 증가량이 약 0.005 m 수준으로 비교적 제한적인 것으로 나타났다. 또한 이러한 증가 경향은 표적 위치와 관계없이 유사한 형태로 나타나는 것을 확인하였다.

따라서 수심 변화는 수평 위치 민감도에 일정한 영향을 미치지만, 전체적인 위치결정 성능의 기본 수준은 수상부이–표적 간 기하에 의해 결정되는 것으로 해석할 수 있다.

이러한 결과는 실제 위치추정 과정에서 나타나는 위치 오차를 해석하는 데 있어 중요한 기준을 제공한다. 즉 EKF 기반 위치추정 결과에서 나타나는 오차 변화는 단순히 기하학적 구조뿐 아니라 측정 업데이트 특성 및 추정 과정에서 발생하는 추가적인 오차 요인이 함께 반영된 결과로 이해할 필요가 있다. 이에 따라 다음 장에서는 동일한 시스템 구성 하에서 EKF 기반 위치추정 성능을 몬테카를로 시뮬레이션을 통해 분석하고, 기하학적 한계와 추정 과정에서 발생하는 오차 요인을 구분하여 평가한다.

4. 시뮬레이션 기반 위치 추정 성능 분석

3장에서는 GNSS 동기 수상부이 기반 TDOA 위치결정 구조에서 부이 배열 기하에 의해 결정되는 위치 민감도를 분석하였다. 특히 수평 위치 오차에 대한 기하학적 불확실성을 DOP 기반 지표를 통해 평가하고, 배열 내부 위치와 수심 변화에 따른 위치 민감도의 변화를 확인하였다. 이러한 분석은 관측 기하가 위치결정 성능에 미치는 영향을 이해하는 데 유용하지만, 실제 운용 환경에서의 위치 추정 성능을 직접적으로 나타내지는 않는다.

실제 위치 추정 과정에서는 표적의 운동 모델, 측정 잡음, 측정 갱신 조건, 그리고 추정 알고리즘 등 다양한 요소가 함께 작용하게 된다. 특히 수중 환경에서는 음향 신호 수신 불확실성이나 측정 갱신 누락, 그리고 표적의 수심 변화와 같은 요소들이 위치 추정 성능에 영향을 미칠 수 있다. 따라서 기하학적 위치 민감도 분석과 더불어 실제 추정 알고리즘을 포함한 시뮬레이션 기반 성능 평가가 필요하다.

이에 이번 장에서는 EKF를 이용한 위치 추정 시뮬레이션을 통해 GNSS 동기 수상부이 기반 TDOA 수중 위치결정 시스템의 성능을 분석한다. 시뮬레이션에서는 수중 표적의 수심 운동 특성, 측정 갱신 조건, 수심 보조 정보 활용 여부, 그리고 TDOA 측정 잡음 수준과 같은 다양한 운용 요소들이 위치 추정 성능에 미치는 영향을 몬테카를로 시뮬레이션을 통해 평가한다.

4.1 시뮬레이션 설정

이번 절에서는 제안된 TDOA 기반 위치 추정 기법의 성능을 분석하기 위한 시뮬레이션 설정과 필터 구성에 대해 설명한다. 부이 배열의 기하학적 배치와 시뮬레이션 공간 가정은 앞 절에서 설명한 내용을 따른다.

수중 운동체는 일정한 속도로 이동하면서 주기적으로 음향 핑을 송신하며, 수면에 위치한 부이들은 이를 수신하여 TDOA를 계산한다. 시뮬레이션에서는 총 300 s동안의 이동 구간을 고려하였으며, 일정 시간 간격으로 측정 업데이트가 수행되도록 설정하였다. 수중 음속은 1500 m/s로 가정하였다. TDOA 측정에는 가우시안 잡음을 포함하도록 모델링하였다. 기본 시뮬레이션에서는 TDOA 측정 잡음의 표준편차를 $\sigma_{TDOA}$=0.5 ms로 설정하였으며, 이후 절에서는 측정 잡음 수준 변화에 따른 위치 추정 성능의 민감도 분석을 수행하였다.

위치 추정에는 EKF를 사용하였다. 상태 벡터는 수중 운동체의 위치와 속도로 구성되며, 측정 벡터는 부이 간 도달 시간 차로부터 계산된 TDOA와 수중 운동체에 탑재된 심도 센서로부터 획득되는 수심 측정값을 포함한다. 수심 센서 측정값은 평균이 0이고 표준편차가 0.5 m인 가우시안 잡음을 포함하는 것으로 모델링하였으며, 해당 측정값은 수심 보조 조건에서 EKF의 추가 측정값으로 사용하였다.

또한 시뮬레이션 결과의 통계적 특성을 분석하기 위해 각 시나리오에 대해 Monte Carlo 반복 실험을 수행하였다. 각 반복에서는 TDOA 측정 잡음이 독립적으로 생성되며, 이를 통해 시간에 따른 평균 수평 위치 오차와 시나리오별 성능 변화를 평가하였다.

4.2 수심 변화 형태에 따른 위치 추정 성능 비교

수중 운동체의 수심 변화 형태가 TDOA 기반 위치 추정 성능에 미치는 영향을 분석하였다. 실제 운용 환경에서는 수중 운동체가 일정한 수심을 유지하며 이동하는 경우도 있으나, 임무 수행 과정에서 수심을 점진적으로 변경하거나 주기적으로 상하 운동을 수행하는 경우도 발생할 수 있다. 따라서 이 연구에서는 수심 운동 형태에 따른 위치 추정 성능 차이를 분석하기 위해 세 가지 대표적인 수심 변화 시나리오를 설정하였다.

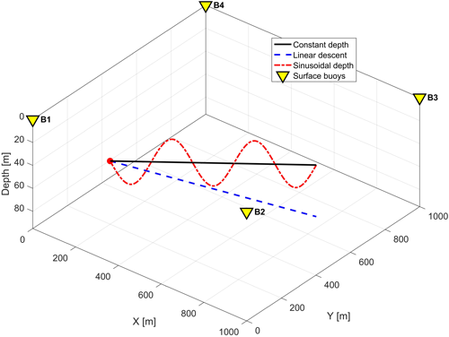
Fig. 4는 시뮬레이션에서 사용한 수중 운동체의 이동 경로와 수상 부이 배열의 위치 관계를 3차원 공간에서 나타낸 것이다. 수상 부이는 해수면 상에 정사각형 형태로 배치되어 있으며, 수중 운동체는 부이 배열 내부를 가로지르는 경로를 따라 이동한다. 수평 이동 경로는 세 시나리오 모두 동일하며, 수심 방향 운동만 서로 다른 형태를 갖도록 설정하였다.

Fig. 4. Three-dimensional target trajectories for different depth motion scenarios.

이 연구에서는 다음과 같은 세 가지 수심 운동 형태를 고려하였다.·     

  • Constant depth: 수중 운동체가 일정한 수심을 유지하며 이동하는 경우·    
  • Linear descent: 수중 운동체가 이동하면서 수심이 선형적으로 증가하는 경우·     
  • Sinusoidal depth: 수중 운동체가 주기적인 상하 운동을 수행하는 경우

이러한 세 가지 시나리오는 실제 수중 플랫폼 운용에서 나타날 수 있는 대표적인 수심 변화 패턴을 단순화하여 모델링한 것이다.

Fig. 5는 각 수심 운동 시나리오에 대해 시간에 따른 수평 위치 오차의 변화를 비교한 결과를 나타낸다. 결과는 각 시나리오에 대해 200회의 Monte Carlo 시뮬레이션을 수행하여 얻어진 평균 수평 위치 오차(mean horizontal position error)를 나타낸 것이다. 여기서 수평 위치 오차는 실제 위치와 추정 위치 간의 수평 거리로 정의되며 $e_{xy}=\sqrt{(x-x_{true} )^2+(y-y_{true})^2}$로 계산하였다.

Fig. 5. Comparison of horizontal positioning error for different depth motion scenarios.

이 시뮬레이션에서는 모든 Monte Carlo 반복에서 동일한 초기 위치 추정 오차를 설정하였기 때문에 초기 시점에서 비교적 큰 위치 오차가 나타난다. 이후 필터가 수렴하면서 수평 위치 오차는 빠르게 감소하여 안정적인 수준을 유지한다. 이후 일정 시간이 경과한 구간에서는 수중 운동체가 부이 배열 내부에서 이동함에 따라 기하학적 관측 조건이 변화하면서 오차가 다소 증가하는 구간이 나타난다.

세 가지 수심 운동 시나리오를 비교하면, 전체적인 오차 수준은 유사한 경향을 보이며 수평 위치 추정 성능은 수심 운동 형태에 크게 의존하지 않는 것을 확인할 수 있다. 이는 수심 변화가 존재하더라도 TDOA 기반 위치 추정 구조가 안정적으로 동작할 수 있음을 의미한다. 다만 주기적인 수심 운동을 수행하는 sinusoidal 시나리오의 경우 일부 구간에서 다른 경우보다 약간 낮은 오차 수준을 보이는데, 이는 수직 방향 위치 변화로 인해 관측 기하 구조가 시간에 따라 변화하면서 위치 추정 조건이 일부 개선되는 효과가 나타난 것으로 해석할 수 있다.

이 결과는 수중 운동체가 일정한 수심을 유지하지 않고 수심을 변화시키며 운용되는 경우에도 TDOA 기반 위치 추정 기법이 안정적으로 동작할 수 있음을 보여준다. 또한 이후 절에서는 이러한 수심 변화 환경을 대표 시나리오로 설정하여 측정 누락, 수심 보조 정보, 그리고 TDOA 측정 잡음 등이 위치 추정 성능에 미치는 영향을 추가적으로 분석한다.

4.3 측정 누락 상황에서의 위치 추정 성능

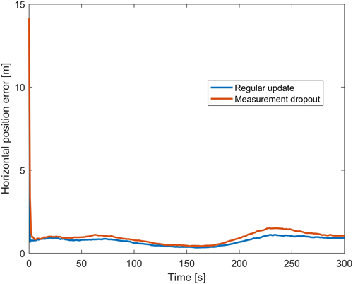
실제 해양 환경에서는 음향 신호의 전파 조건, 해면 반사, 또는 센서 수신 상태 등의 영향으로 인해 일부 측정이 정상적으로 획득되지 못하는 경우가 발생할 수 있다. 이러한 상황에서는 TDOA 측정값이 간헐적으로 누락될 수 있으며, 이는 위치 추정 성능에 영향을 미칠 수 있다. 따라서 측정 누락 상황에서도 제안된 위치 추정 구조가 안정적으로 동작하는지를 확인하는 것이 필요하다.

이를 위해 시뮬레이션에서는 확률 기반 측정 누락 모델을 적용하였다. 각 측정 시점마다 확률 $p_{drop}$=0.2로 TDOA 측정이 누락되도록 설정하였으며, 측정이 정상적으로 획득되는 경우에만 EKF의 측정 업데이트 단계가 수행되도록 하였다. 측정 누락이 발생한 경우에는 해당 시점에서 필터의 상태 예측 단계만 수행된다. 이러한 모델은 실제 수중 음향 환경에서 발생할 수 있는 신호 수신 실패 또는 통신 장애 상황을 단순화하여 반영한 것이다. 이와 같은 조건을 적용하여 측정 누락이 없는 경우(regular update)와 측정 누락이 존재하는 경우(measurement dropout)를 비교하였다.

Fig. 6은 두 시나리오에 대해 시간에 따른 평균 수평 위치 오차 변화를 비교한 결과를 나타낸다. 두 경우 모두 필터 초기 구간에서는 비교적 큰 오차가 나타나지만, 필터가 수렴함에 따라 오차는 빠르게 감소하여 안정적인 수준을 유지하는 것을 확인할 수 있다.

Fig. 6. Effect of measurement dropout on horizontal positioning error.

측정 누락이 존재하는 경우에는 일부 구간에서 위치 오차가 다소 증가하는 경향이 나타나지만, 전체적인 오차 수준과 변화 경향은 측정이 정상적으로 이루어지는 경우와 유사한 형태를 보인다. 이는 측정이 일시적으로 누락되더라도 EKF의 상태 예측 단계가 일정 수준의 위치 추정을 유지할 수 있기 때문으로 해석된다.

또한 수중 운동체가 부이 배열 내부를 이동하면서 관측 기하 구조가 변화하는 구간에서는 두 경우 모두 유사한 오차 증가 패턴이 나타나는 것을 확인할 수 있다. 이는 측정 누락 여부와 관계없이 위치 추정 정확도가 관측 기하 구조의 영향을 크게 받는다는 것을 의미한다.

이러한 결과는 제안된 TDOA 기반 위치 추정 구조가 측정 누락이 발생하는 환경에서도 비교적 안정적인 성능을 유지할 수 있음을 보여준다.

4.4 수심 보조의 영향

수중 위치결정 시스템에서는 수심 정보가 비교적 높은 정확도로 획득 가능한 센서 정보 중 하나이다. 일반적인 수중 플랫폼에는 압력 기반 수심 센서가 탑재되어 있으며, 이러한 센서는 수직 방향 위치를 비교적 안정적으로 측정할 수 있다. 반면 TDOA 기반 위치 추정에서는 수중 운동체와 수상 부이 간의 기하학적 관계에 따라 수직 방향 위치 추정의 불확실성이 상대적으로 크게 나타날 수 있으며, 이는 수평 위치 추정 정확도에도 영향을 미칠 수 있다.

이러한 점을 고려하여 시뮬레이션에서는 수심 센서로부터 획득되는 수심 측정값을 EKF 측정 모델에 포함하는 수심 보조 조건과 이를 사용하지 않는 조건을 비교하였다. 수심 센서 측정값은 평균이 0이고 표준편차가 $\sigma_z$=0.5 m인 가우시안 잡음을 포함하는 것으로 모델링하였다. 해당 값은 일반적인 압력 기반 수심 센서의 측정 정확도 수준을 고려하여 설정하였다.

Fig. 7은 수심 보조 적용 여부에 따른 시간에 따른 평균 수평 위치 오차 변화를 나타낸다. 수심 보조를 사용하지 않는 경우에는 수직 방향 위치 추정의 불확실성이 필터 내부에서 누적되면서 수평 위치 오차 또한 비교적 큰 수준으로 유지되는 것을 확인할 수 있다. 특히 부이 배열 내부에서 관측 기하 구조가 변화하는 구간에서는 수평 위치 오차가 약 1.8 m 수준까지 증가하는 경향이 나타난다.

Fig. 7. Effect of depth aiding on horizontal positioning error.

반면 심도 센서로부터 획득되는 수심 측정값을 EKF에 포함하여 수심 보조를 적용한 경우에는 수직 방향 상태가 직접적으로 보정되기 때문에 전체 위치 추정의 안정성이 크게 향상된다. 이러한 효과로 인해 수평 위치 오차 또한 크게 감소하며, 동일 조건에서 평균 수평 위치 오차는 약 0.4 m 수준으로 유지되는 것을 확인할 수 있다.

이와 같은 결과는 수직 방향 상태의 불확실성이 위치 추정 과정에서 중요한 역할을 한다는 것을 보여준다. TDOA 측정만으로 수중 운동체의 위치를 추정하는 경우에는 수직 방향 위치 오차가 필터 내부에서 완전히 제어되지 못하고 수평 위치 추정에도 영향을 미칠 수 있다. 그러나 심도 센서로부터 획득되는 수심 측정값을 수심 보조 정보로 활용할 경우 수직 방향 상태가 효과적으로 보정되며, 결과적으로 전체 위치 추정 정확도가 향상되는 것을 확인할 수 있다. TDOA 기반 수중 위치결정 시스템에서는 수심 센서를 이용한 수심 보조 구조가 위치 추정 성능 향상에 효과적으로 활용될 수 있음을 확인하였다.

4.5 TDOA 측정 잡음에 대한 민감도 분석

수중 음향 기반 위치결정 시스템에서는 음향 신호 전파 환경, 센서 동기화 정확도, 그리고 신호 검출 오차 등의 다양한 요인에 의해 TDOA 측정값에 오차가 발생할 수 있다. 이러한 측정 잡음은 위치 추정 정확도에 직접적인 영향을 미치므로, 측정 잡음 수준 변화에 따른 위치 추정 성능의 민감도를 분석하는 것이 필요하다.

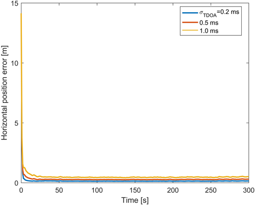
이를 위해 시뮬레이션에서는 TDOA 측정 잡음의 표준편차 $\sigma_{TDOA}$값을 각각 0.2 ms, 0.5 ms, 1.0 ms로 설정하여 위치 추정 성능을 비교하였다. 각 경우에 대해 Monte Carlo 반복 실험을 수행하여 시간에 따른 평균 수평 위치 오차를 계산하였다.

Fig. 8은 TDOA 측정 잡음 수준에 따른 수평 위치 오차 변화를 나타낸다. 결과를 보면 측정 잡음이 증가함에 따라 위치 추정 오차 또한 증가하는 경향이 나타나는 것을 확인할 수 있다.

Fig. 8. Sensitivity of horizontal positioning error to TDOA measurement noise.

$\sigma_{TDOA}$=0.2 ms인 경우에는 평균 수평 위치 오차가 약 0.3 m 수준으로 유지되는 반면, $\sigma_{TDOA}$=0.5 ms인 경우에는 약 0.5 m 수준으로 증가하는 것을 확인할 수 있다. 또한 측정 잡음이 1.0 ms까지 증가할 경우 평균 위치 오차는 약 0.7 m 수준까지 증가하는 경향을 보인다.

이러한 결과는 TDOA 기반 위치 추정 정확도가 측정 잡음 수준에 상당한 영향을 받는다는 것을 보여준다. 그러나 측정 잡음이 비교적 큰 경우에도 EKF 기반 위치 추정 구조는 안정적으로 동작하며, 위치 오차가 급격히 증가하지 않고 일정 수준 내에서 유지되는 것을 확인할 수 있다.

따라서 실제 시스템 설계에서는 TDOA 측정 정확도를 확보하는 것이 위치 추정 성능 향상에 중요한 요소가 되며, 센서 동기화 정확도 향상이나 신호 검출 정확도 개선 등을 통해 TDOA 측정 잡음을 감소시키는 것이 위치결정 성능 향상에 효과적인 방법이 될 수 있다.

5. 결론

이 연구에서는 GNSS로 동기화된 수상 부이 배열을 이용한 TDOA 기반 수중 위치 추정 시스템을 대상으로, 수중 운동체가 수평 이동과 함께 수심 방향 변동을 포함하는 3차원 운동을 수행하는 환경에서의 위치 추정 성능을 분석하였다. 기존 연구에서 자주 가정되는 단순한 2차원 평면 이동 모델과 달리, 실제 운용 상황을 고려하여 수심 변화가 존재하는 3차원 기하 구조에서의 위치 추정 특성을 중심으로 시뮬레이션 기반 분석을 수행하였다.

먼저 수심 운동 형태에 따른 위치 추정 성능을 비교하기 위해 일정 수심 유지, 선형 수심 변화, 주기적 수심 변동의 세 가지 시나리오를 설정하였다. 분석 결과 수심 변화가 존재하는 경우에도 TDOA 기반 위치 추정 구조는 안정적으로 동작하며, 수평 위치 오차 수준은 전체적으로 유사한 경향을 보였다. 특히 주기적인 수심 변동을 포함하는 경우에도 필터가 안정적으로 수렴하며 위치 추정 성능이 크게 저하되지 않음을 확인하였다.

또한 실제 환경에서 발생할 수 있는 측정 누락 상황을 고려하여 TDOA 측정이 확률적으로 누락되는 조건을 적용한 시뮬레이션을 수행하였다. 그 결과 측정 누락이 존재하는 경우에도 EKF 기반 위치 추정 구조는 상태 예측 단계에 의해 안정적인 추정을 유지할 수 있으며, 전체적인 위치 추정 성능은 큰 폭으로 저하되지 않는 것을 확인하였다.

심도 센서로부터 획득되는 수심 측정값을 EKF 측정 모델에 포함하는 경우에는 위치 추정 성능이 크게 향상되는 것으로 나타났다. 수심 정보를 사용하지 않는 경우에는 수직 방향 상태 추정의 불확실성이 수평 위치 오차에도 영향을 미치는 반면, 수심 센서 정보를 활용할 경우 수직 방향 상태가 효과적으로 보정되면서 전체 위치 추정 정확도가 크게 개선되는 것을 확인하였다.

마지막으로 TDOA 측정 잡음 수준에 따른 위치 추정 성능의 민감도를 분석하였다. 분석 결과 측정 잡음이 증가함에 따라 위치 오차 또한 증가하는 경향이 나타났지만, EKF 기반 위치 추정 구조는 비교적 넓은 잡음 범위에서도 안정적으로 동작하는 것을 확인하였다.

이 연구의 결과는 수심 변동이 존재하는 3차원 환경에서도 GNSS 동기화 수상 부이 기반 TDOA 위치 추정 구조가 안정적으로 적용될 수 있음을 보여준다. 또한 심도 센서 측정 정보를 보조적으로 활용하는 구조가 위치 추정 정확도 향상에 효과적인 방법이 될 수 있음을 확인하였다. 이러한 분석 결과는 향후 다양한 수중 플랫폼 운용 시나리오에서 TDOA 기반 위치결정 시스템의 설계 및 성능 평가를 위한 기초 자료로 활용될 수 있을 것으로 기대된다.

AUTHOR CONTRIBUTIONS

Conceptualization, C.H.; methodology, C.H.; software, C.H.; validation, C.H. and H.K.; formal analysis, C.H.; investigation, C.H.; resources, D.K. and S.L.; data curation, C.H.; writing—original draft preparation, C.H.; writing—review and editing, C.H., H.K. and D.K.; visualization, C.H.; supervision, C.H.

CONFLICTS OF INTEREST

The authors declare no conflict of interest.

REFERENCES

Baggeroer, A. B. 2013, Acoustic telemetry for the last decade and challenges for the next one, Proceedings of the 8th International Conference on Underwater Networks & Systems (WUWNet), Article No. 1, 1-8. https://doi.org/10.1145/2532378.2541578

Compagnoni, M., Notari, R., Antonacci, F., & Sarti, A. 2014, A comprehensive analysis of the geometry of TDOA maps in localization problems, Inverse Problems, 30, 035004. https://doi.org/10.1088/0266-5611/30/3/035004

Han, G., Jiang, J., Shu, L., Xu, Y., & Wang, F. 2012, Localization algorithms of underwater wireless sensor networks: A survey, Sensors, 12, 2026-2061. https://doi.org/10.3390/s120202026

Hyun, C., Kim, H., Kim, D. G., & Lee, S. 2025, GNSS-synchronized surface buoy network TDOA for underwater target localization, Journal of Positioning, Navigation, and Timing, 14, 291-297. https://doi.org/10.11003/JPNT.2025.14.3.291

Kilfoyle, D. B. & Baggeroer, A. B. 2000, The state of the art in underwater acoustic telemetry, IEEE Journal of Oceanic Engineering, 25, 4-27. https://doi.org/10.1109/48.820733

Li, S., Sun, H., & Esmaiel, H. 2020, Underwater TDOA acoustical location based on majorization-minimization optimization, Sensors, 20, 4457. https://doi.org/10.3390/s20164457

Paull, L., Saeedi, S., Seto, M., & Li, H. 2014, AUV navigation and localization: A review, IEEE Journal of Oceanic Engineering, 39, 131-149. https://doi.org/10.1109/JOE.2013.2278891

Stojanovic, M. & Preisig, J. 2009, Underwater acoustic communication channels: Propagation models and statistical characterization, IEEE Communications Magazine, 47, 84-89. https://doi.org/10.1109/MCOM.2009.4752682

Su, X., Ullah, I., Liu, X., & Choi, D. 2020, A review of underwater localization techniques, algorithms, and challenges, Journal of Sensors, 2020, 6403161. https://doi.org/10.1155/2020/6403161

CONTENTS